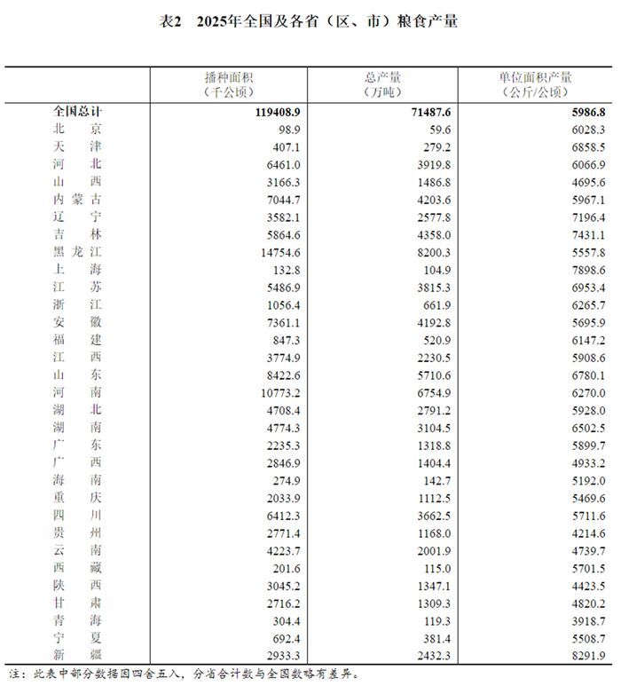
根据对全国31个省(区、市)的调查,2025年全国粮食播种面积、单位面积产量和总产量分别如下:
一、全国粮食播种面积119409千公顷(179113万亩),比2024年增加90千公顷(135万亩),增长0.1%。其中谷物[1]播种面积100619千公顷(150928万亩),比2024年增加161千公顷(241万亩),增长0.2%。
二、全国粮食单位面积产量5987公斤/公顷(399公斤/亩),比2024年增加65.7公斤/公顷(4.4公斤/亩),增长1.1%。其中谷物单位面积产量6561公斤/公顷(437公斤/亩),比2024年增加68.3公斤/公顷(4.6公斤/亩),增长1.1%。
三、全国粮食总产量71488万吨(14298亿斤),比2024年增加838万吨(168亿斤),增长1.2%。其中谷物产量66021万吨(13204亿斤),比2024年增加792万吨(158亿斤),增长1.2%。
国家统计局
2025年12月12日
注:[1]谷物主要包括稻谷、小麦、玉米及谷子、高粱、大麦、燕麦和荞麦等。


关于粮食产量调查制度和方法的说明
全国粮食总产量为31个省(区、市)夏粮、早稻和秋粮产量的总和。
(一)调查方法
粮食产量统计调查采取主要品种抽样调查、小品种典型调查或全面统计相结合的方法统计。抽样调查的主要粮食品种有稻谷、小麦和玉米等,通过以省为总体抽选具有代表性的村和地块开展调查。粮食产量抽样调查由播种面积和单位面积产量抽样调查组成。播种面积调查利用遥感影像、采取空间抽样技术抽选调查样本,在调查时点对样本地块内所有农作物进行清查,推算主要粮食作物的播种面积。单位面积产量调查通过采用实割实测的方法,推算各主要粮食品种的单位面积产量。播种面积与单位面积产量相乘得到总产量。
(二)调查样本
目前以省为总体的粮食产量抽样调查在国家调查县(市)中进行。全国共抽取近1万个样本村,每个样本村抽取3个面积约60亩的样方地块。在调查时节,由国家统计局各基层调查队调查人员和辅助调查员开展调查,对样方地块内及其压盖的所有自然地块开展播种面积抽样调查。各省级调查总队根据调查基础数据推算得出省级粮食播种面积。
粮食单位面积产量抽样调查在国家调查县(市)抽取的面积调查地块中进行,全国共抽取5000多个样本村、近3万个自然地块,每个自然地块中再按照要求抽选3-5个10平方尺的小样方,通过对样方内粮食作物进行实割实测,推算得出全省各粮食作物平均单产水平。
(三)测产方法
主要粮食品种单位面积产量调查采用实割实测的方法取得。按照《农林牧渔业统计报表制度》,在粮食作物收获前,各调查村中的基层调查员在播种面积调查样本的基础上对相应粮食品种种植地块逐块进行踏田估产、排队,抽选一定数量样本地块做出标记;待收获时各县级调查员或者辅助调查员在抽中样本地块上进行放样,割取样本,再通过脱粒、晾晒、测水杂、称重、核定割拉打损失等环节,计算出地块单产。国家统计局各调查总队根据抽中样本地块单产推算全省(区、市)平均单位面积产量。
(审核:迟慧 丁宁 张永刚)

地址:北京市西城区月坛北街26号恒华国际商务中心A座721室
电话:(010) 82106672
邮箱:csiachina@126.com
京ICP备19044408号-1
技术支持:巨耀网络
版权所有:中国大豆产业协会